امتحانات امتحان تجريبي فيزياء توجيهي 2025 (سلفيت) + الإجابات النموذجية



خالد محمد

مشرف
طاقم الإدارة
إنضم
26 أغسطس 2020
المشاركات
382
مستوى التفاعل
4
النقاط
18

امتحان تجريبي فيزياء توجيهي 2025 (سلفيت)


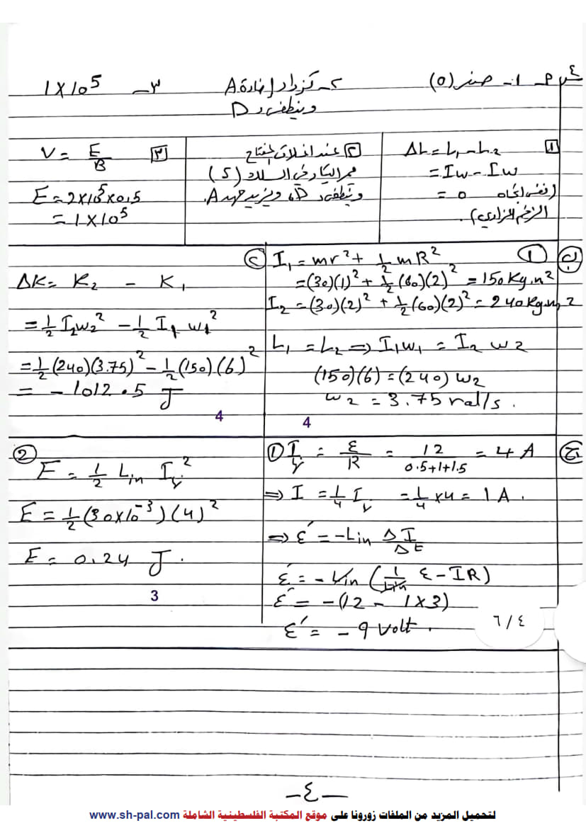
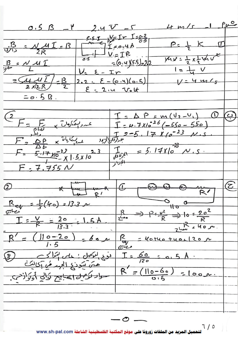
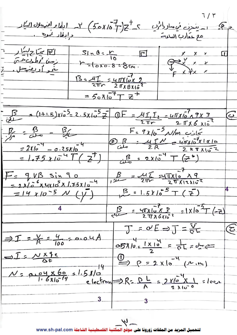
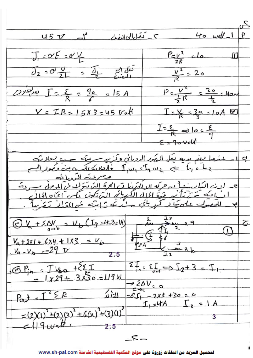
امتحان تجريبي فيزياء توجيهي 2025 (سلفيت) 1.jpgامتحان تجريبي فيزياء توجيهي 2025 (سلفيت) 2.jpgامتحان تجريبي فيزياء توجيهي 2025 (سلفيت) 3.jpgامتحان تجريبي فيزياء توجيهي 2025 (سلفيت) 4.jpg
 

خالد محمد

مشرف
طاقم الإدارة
إنضم
26 أغسطس 2020
المشاركات
382
مستوى التفاعل
4
النقاط
18
أعلى