امتحانات امتحان تجريبي رياضيات توجيهي أدبي 2025 (طولكرم) + الإجابة النموذجية



خالد محمد

مشرف
طاقم الإدارة
إنضم
26 أغسطس 2020
المشاركات
382
مستوى التفاعل
4
النقاط
18

امتحان تجريبي رياضيات توجيهي أدبي 2025 (طولكرم)


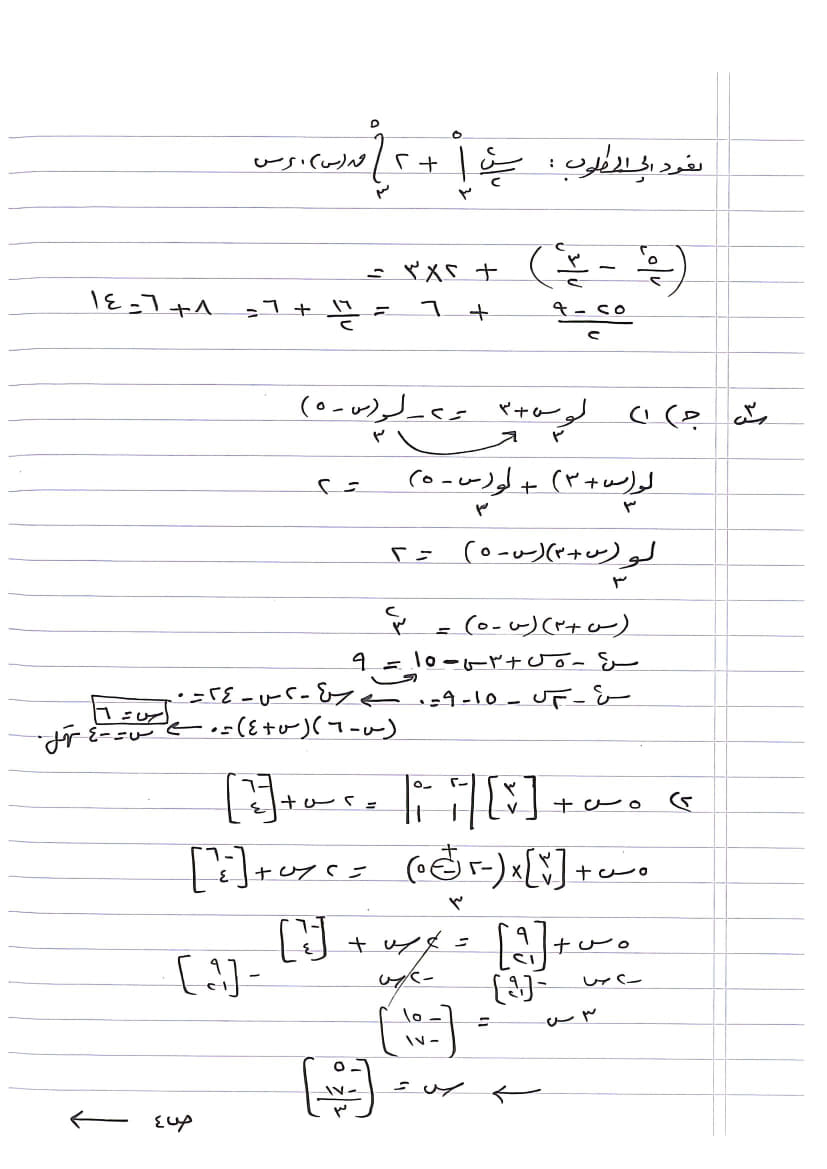
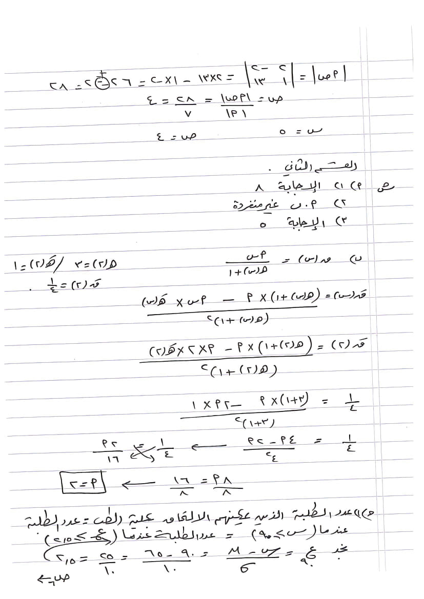
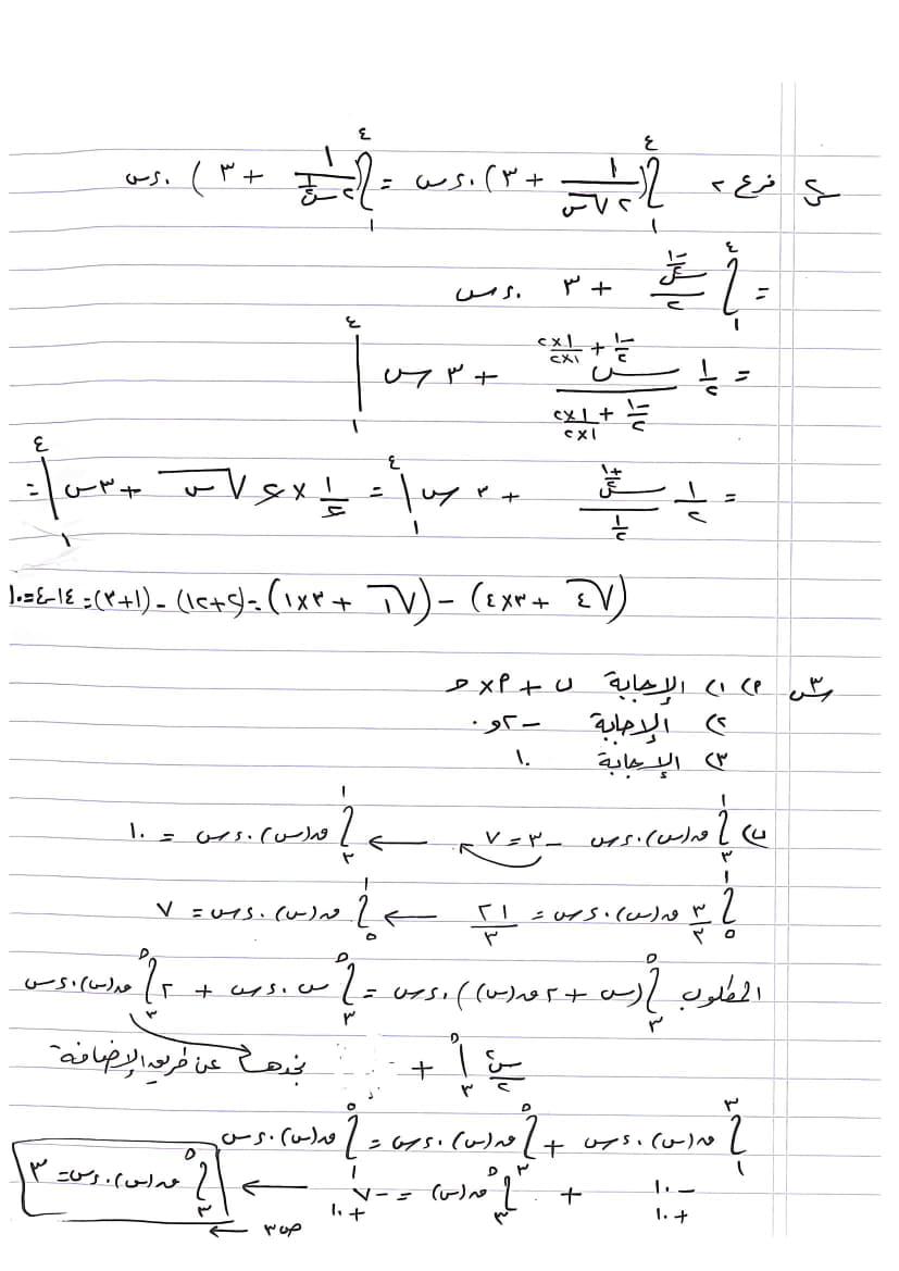
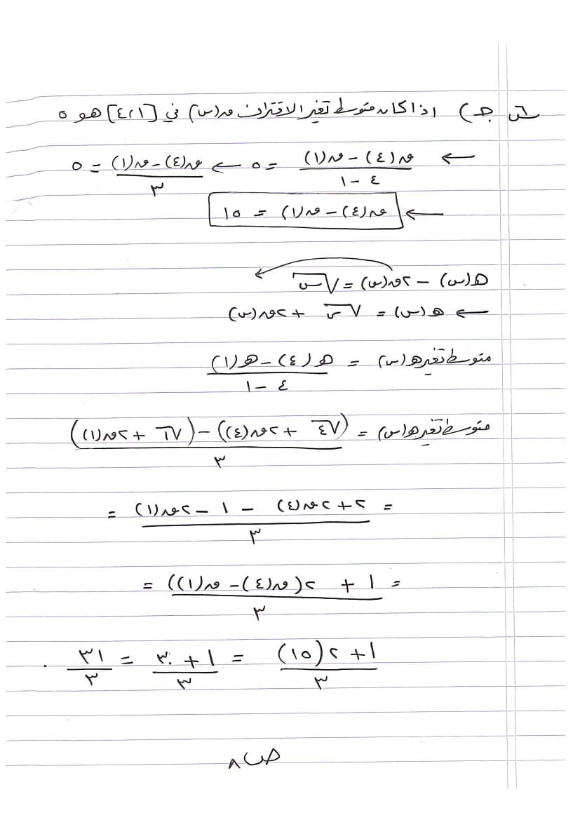
امتحان تجريبي رياضيات توجيهي أدبي 2025 (طولكرم) 01.jpgامتحان تجريبي رياضيات توجيهي أدبي 2025 (طولكرم) 02.jpgامتحان تجريبي رياضيات توجيهي أدبي 2025 (طولكرم) 03.jpgامتحان تجريبي رياضيات توجيهي أدبي 2025 (طولكرم) 04.jpg
 

خالد محمد

مشرف
طاقم الإدارة
إنضم
26 أغسطس 2020
المشاركات
382
مستوى التفاعل
4
النقاط
18
أعلى